这一节我们主要学习
- 逻辑回归模型
- 逻辑回归与平方误差
- 判别模型 vs. 生成模型
- 多元分类
- 逻辑回归的局限性
- 延伸:深度学习
1. 建立逻辑回归模型
1.1 步骤1:确定函数集
我们需要找到一个概率函数 $P_{w,b}(C_1|x)$ ,该函数有如下特征:
当 $P_{w,b}(C_1|x) \geq 0.5$ 时,输出 $C_1$ ; 否则输出 $C_2$。
函数 $P_{w,b}(C_1|x) = σ(z)$ , 满足上述条件。
其中$z = wx + b,σ(z) = \frac{1}{1+exp(-z)}$ ,如图。

函数集 $f_{w,b}(x) = P_{w,b}(C_1|x)$ ,如图:

-
比较逻辑回归和线性回归:
-
逻辑回归:$f_{w,b}(x) = σ(\sum_{i}w_ix_i+b)$ ; 输出范围(0 , 1)
-
线性回归:$f_{w,b}(x) = \sum_{i}w_ix_i+b$ ;输出范围($-\infty$,$+\infty$)
-
1.2 步骤 2:模型评价
如图所示,假设训练数据集是依据 $f_{w,b}(x) = P_{w,b}(C_1|x)$ 产生的,给出一系列的 $w$ 和 $b$,产生该数据集的概率为多少?

产生该数据集的概率为 $L(w,b) = f_{w,b}(x^1)f_{w,b}(x^2)(1-f_{w,b}(x^3)) \cdots f_{w,b}(x^N)$ (注意$x^3$属于$C_2$类别)
其中 $w^{*},b^{*} = arg maxL(a,b)$,当 $w$ 和 $b$ 分别取 $w^*,b^* $ 时,函数 $L(w,b)$ 取最大值。
$L(w,b)$的优化:

$L(w,b) = f_{w,b}(x^1)f_{w,b}(x^2)(1-f_{w,b}(x^3)) \cdots $
为简化计算,我们将求解 $L(w,b)$ 的最大值,转化为求解 $-lnL(w,b)$ 的最小值。

$-lnL(w,b)= \ln{f_{w,b}(x^1)}\ln{f_{w,b}(x^2)}\ln{(1-f_{w,b}(x^3))} \cdots$
= $\sum_{n=1}^{n=N} -[\hat y^{n}\ln{f_{w,b}(x^n)}+(1-\hat y^{n})\ln({1-f_{w,b}(x^n)})]$,
该函数可以看做两个伯努利分布之间的交叉熵,如图。

熵的概念本来是热力学的一个概念,描述物质的混乱程度。 在这里,我们用交叉熵的概念来描述两组不同概率数据分布的相似程度,越小越相似。
- 逻辑回归和线性回归训练集上的比较:
训练数据集($x^n,\hat y^{n}$):
逻辑回归:$L(f) = \sum C(f(x^n),\hat y^{n})=\sum-[\hat{y}^nlnf(x^n)+(1-\hat{y}^n)ln(1-f(x^n))]$ 其中:$\hat y^{n}$ 取1表示分类1,取2表示分类2;
线性回归:$L(f) = \frac{1}{2}\sum (f(x^n)-\hat y^{n})^2$ ;其中$\hat y^{n}$ 表示一个真实有实际意义的值。
1.3 步骤3:模型优化
偏导数: $\frac{\partial (-lnL(w,b))}{\partial w_i}$ = $\sum_n-(\hat y^{n}-f_{w,b}(x^n))x_i^n$
梯度下降:$w_i \leftarrow w_i - 𝜂\sum_n -(\hat y^n - f_{w,b}(x^n))x_i^n$,由上式可以看出,偏差越大,更新的步长越大。
逻辑回归与线性回归在参数更新上的比较:
梯度下降表达式均为 $w_i \leftarrow w_i - 𝜂\sum_n -(\hat y^n - f_{w,b}(x^n))x_i^n$。
1.4 逻辑回归与回归模型总结对比

2. 逻辑回归与平方误差
- 步骤1:
$f_{w,b}(x) = σ(\sum_i w_ix_i+b)$
对线性回归中的加速函数 $h$ 作 sigmod 函数得到逻辑回归假设函数。
- 步骤2:
训练数据集($x^n,\hat y^n$):当 $\hat y^n$ 为类别1时,取1;为类别2时,取0 。
$L(f)=\frac{1}{2}\sum_n(f_{w,b}(x^n)-\hat y^n)^2$
- 步骤3:
$\frac{\partial (f_{w,b}(x^n)-\hat y)^2}{\partial w_i}$ = $2(f_{w,b}(x^n)-\hat y^n)f_{w,b}(x^n)(1-f_{w,b}(x^n))x_i$
$\hat y^n$ = 0时,
如果 $f_{w,b}(x^n)$ = 1(远离目标),$\frac{\partial L}{\partial w_i }= 0$
如果 $f_{w,b}(x^n)$ = 0(靠近目标),$\frac{\partial L}{\partial w_i }= 0$
### **3. 判别模型 v.s. 生成模型 **
3.1 介绍
我们把逻辑回归方法称为判别模型( Discriminative )方法,
上节课用高斯方法来描述后验概率的方法称为生成模型( Generative )方法。
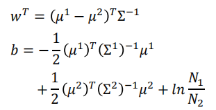
概率函数 $P_{w,b}(C_1|x)$ ,通过两种不同的方式求解 $w,b$。
-
1 直接求解 $w,b$
-
2 计算 $μ^1$,$μ^2$ ,$\sum^{-1}$ ,再通过下式计算:

如果使用生成模型,可以使用方法2计算。
它们使用相同的训练数据和函数集进行训练,但是最终的得到的预测函数不相同,如图所示。
上述两种模型采用了数据集的7种数据特征来对数据集进行分类,其中生成模型的准确率为73%,判别模型的准确率为79%。
3.2 生成模型实例
已知特征均为1时,是类别1,其余为类别2。
我们来预测一下:
如果使用贝叶斯模型(生成模型)会得到什么样的结果?
预测结果为类别2,应该是类别1的,为什么出错了呢?
生成模型经过计算判断测试数据是类别1的几率小于0.5,原因在于生成模型会适当脑补一些情形。
4. 多元分类
类比二元分类,多元分类即根据特征将数据分为多个类别。
$C_1:w^1,b^1$;$z_1 = w^1*x + b_1$
$C_2:w^2,b^2$;$z_2 = w^2*x + b_2$
$C_3:w^3,b^3$;$z_3 = w^3*x + b_3$
Probability:$y_i = P(C_i|x)$
-
$1 > y_i >0$
-
$\sum_i y_i=1$
使用 softmax 函数:

softmax 函数和 交叉熵( cross entropy ):
熵的概念本来是热力学的一个概念,描述物质的混乱程度。
在这里,我们用交叉熵的概念来描述两组不同概率数据分布的相似程度,越小越相似。

5. 逻辑回归的局限性
“异或”函数

如图,我们不能够将数据集进行很好的分类。请问为什么呢?
解决办法
特征变化:
如图,我们通过一些变换将数据在坐标轴上分开,但是我们并不能很容易找到一个较好的变换。
级联逻辑回归模型

首先通过特征变换,改变每个点的特征值:

通过第二级模型进行分类:

如图,我们成功地将数据进行分类。
6. 深度学习
