这一节我们主要学习
- 梯度下降法
- 链式法则
- 前向传播
- 反向传播
1.基础知识
1.1 梯度下降算法
-
网络的参数$θ=$ {$w_1,w_2,…,b_1,b_2,..$}
-
起始参数: $θ^ 0 \longrightarrow θ^ 1 \longrightarrow θ^ 2 \longrightarrow …… $
-
在神经网络使用梯度下降算法求解最优化的损失函数,反向传播算法能够使梯度计算更高效。

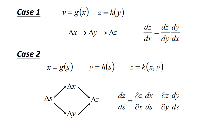
1.2 链式法则
- 因为神经网络有着多个隐藏层,所以在计算偏导数的过程中要使用到链式求导法则。

2.反向传播算法
2.1 梯度计算
- 我们要最小化的损失函数 L(θ) 是每一组数据的损失 C(θ) 之和。(注:这里的 C(θ) 对应视频中的 l(θ))
- 因此计算 L(θ) 的偏微分等价于计算每一个 C(θ) 的偏微分,再将之加总。所以接下来算 C(θ) 的偏微分。

- 对第一层的某一个神经元进行分析发现:$\frac{\partial C}{\partial w} = \frac{\partial z}{\partial w} \frac{\partial C}{\partial z}$
- 前向传播阶段:计算所有参数的 $\frac{\partial z}{\partial w}$
- 反向传播阶段:计算所有参数的 $\frac{\partial C}{\partial z}$

2.2 前向传播
- 为所有的参数计算 $\frac{\partial z}{\partial w}$

- 实例:

2.3 后向传播
- 计算 $\frac{\partial C}{\partial z} : \frac{\partial C}{\partial z} = \frac{\partial a}{\partial z} \frac{\partial C}{\partial a}$

- 第一步,计算 $\frac{\partial a}{\partial z}= σ’(z)$ :

- 第二步,计算 $\frac{\partial C}{\partial a}$ :

- 假设 $\frac{\partial C}{\partial z’}$ 和$\frac{\partial C}{\partial z’’}$ 已知,后向传播阶段的结果:

-
但实际$\frac{\partial C}{\partial z’}$ 和 $\frac{\partial C}{\partial z’’}$是未知的,接下来分两种情况进行讨论:
-
情况1:该层是输出层,$\frac{\partial C}{\partial z’}$ 和 $\frac{\partial C}{\partial z’’}$为输出层的输入

- 情况2:该层不是输出层,我们可以递归地计算,直到我们到达输出层。然后,从输出层不断向前计算,得到 $\frac{\partial C}{\partial z}$

- 情况2: 从输入开始算感觉很麻烦,从输出开始算会发现和前馈网络运算量一样:

2.4 反向传播算法总结

先做前向传播,计算出激活函数的输出$\frac{\partial z}{\partial w} = a$,
再从反向传播中求出$\frac{\partial C}{\partial z}$,将上述结果相乘即得到$\frac{\partial C}{\partial w}$